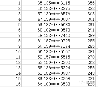
“泰椰阳光”椰汁杯·我的新年祝福语投票活动结束了... 2023-04-19 23:50:29 投票活动结束了领礼包,拿门票前16名中奖名单临泉人都在看1、公交司机“用脚开车”已被警方控制2、当心!市面上出现了“新型”百元假币,临泉人要注意了...电话:0558—6586333/18856809611(招商)